题目内容
设函数
。
(1)写出
的最大值M,最小值m,最小正周期T;
(2)试求最小正整数k,使得当自变量x在任意两个整数间(包括整数本身)变化时,函数
至少有一个值是M和一个值是m。
(1)写出
(2)试求最小正整数k,使得当自变量x在任意两个整数间(包括整数本身)变化时,函数
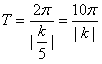
解:(1)M=5,m=-5,
;
(2)由题意知,函数
在任意两个整数间(包括整数本身)变化时,至少有一个值是M和一个值是m,
∴
,即
,
∴
,
∵k∈N*,
∴最小正整数k为32。
(2)由题意知,函数
∴
∴
∵k∈N*,
∴最小正整数k为32。
练习册系列答案
相关题目