题目内容
已知等差数列{an}满足a2=0,a6+a8=-10,
(Ⅰ)求数列{an}的通项公式;
(Ⅱ)求数列
的前n项和。
(Ⅰ)求数列{an}的通项公式;
(Ⅱ)求数列
解:(Ⅰ)设等差数列{an}的公差为d,
由已知条件可得
,
故数列{an}的通项公式为
;
(Ⅱ)设数列
的前n项和为Sn,
即
,①
故
,
,②
当n≥2时,①-②得

,
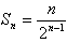
所以
;
综上,数列
的前n项和为
。
由已知条件可得
故数列{an}的通项公式为
(Ⅱ)设数列
即
故
当n≥2时,①-②得
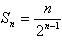
所以
综上,数列
练习册系列答案
相关题目