题目内容
已知数列{an}满足:Sn=1-an(n∈N*),其中Sn为数列{an}的前n项和,
(1)试求数列{an}的通项公式;
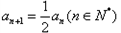
(2)设
,数列{cn}的前n项和为Pn,求证
。
(1)试求数列{an}的通项公式;
(2)设
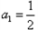
解:(1 )∵
, ①
∴
, ②
②-①得
,
∴
,
又当n=1时,
,
∴
,
∴
。
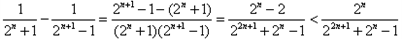
(2)证明:∵


,
又
,
∴
,
∴
。
∴
②-①得
∴
又当n=1时,
∴
∴
(2)证明:∵
又
∴
∴
练习册系列答案
相关题目