题目内容
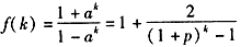
设
,g(x)是f(x)的反函数。
(Ⅰ)求g(x);
(Ⅱ)当x∈[2,6]时,恒有
成立,求t的取值范围;
(Ⅲ)当
时,试比较f(1)+f(2)+…+f(n)与n+4的大小,并说明理由。
(Ⅰ)求g(x);
(Ⅱ)当x∈[2,6]时,恒有
(Ⅲ)当
解:(Ⅰ)由题意得
故
;
(Ⅱ)由
得
①当
时,
又因为
所以
令
则
列表如下:

所以h(x)最小值=5,所以0<t<5
当
时,
又因为x∈ [2,6]
所以t>(x-1)2(7-x)>0
令h(x)=(x-1)2(7-x),x∈[2,6],
由①知h(x)最大值=32
所以t>32
综上,当a>1时,0<t<5
当0<a<1时,t>32。
(Ⅲ)设
,则
当
时,
当n≥2时,设k≥2,k∈N*时
则

所以
从而
所以f(1)+f(2)+…+f(n)<f(1)+n+1≤n+4
综上,总有,f(1)+f(2)+…+f(n)< n+4。
故
(Ⅱ)由
①当
又因为
所以
令
则
列表如下:
所以h(x)最小值=5,所以0<t<5
当
又因为x∈ [2,6]
所以t>(x-1)2(7-x)>0
令h(x)=(x-1)2(7-x),x∈[2,6],
由①知h(x)最大值=32
所以t>32
综上,当a>1时,0<t<5
当0<a<1时,t>32。
(Ⅲ)设
当
当n≥2时,设k≥2,k∈N*时
则
所以
从而
所以f(1)+f(2)+…+f(n)<f(1)+n+1≤n+4
综上,总有,f(1)+f(2)+…+f(n)< n+4。
练习册系列答案
相关题目