题目内容
在△ABC中,a,b,c分别是角A、B、C的对边,且(2a+c)cosB+bcosC=0.(I)求角B;
(II)若
【答案】分析:(I)把已知的等式变形,利用正弦定理化简,再根据两角和与差的正弦函数公式及诱导公式进行变形,根据sinA不为0,在等式两边同时除以sinA,得到cosB的值,由B为三角形的内角,利用特殊角的三角函数值即可求出B的度数;
(II)由第一问求出的B的度数,得到sinB的值,同时利用余弦定理得到b2=a2+c2-2accosB,配方化简后,把cosB,b,及a+c的值代入,求出ac的值,最后由ac及sinB的值,利用三角形的面积公式即可求出三角形ABC的面积.
解答:解:(I)由已知得
,由正弦定理得
.
即2sinAcosB+sinCcosB=-sinBcosC,
即2sinAcosB+sin(B+C)=0.…3分
∵B+C=π-A,∴sin(B+C)=sin(π-A)=sinA,
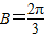
∴
,∴
;…6分
(II)由(I)得
.…7分
将
代入b2=a2+c2-2accosB中,得ac=3.…10分
∴
.…12分.
点评:此题考查了正弦、余弦定理,两角和与差的正弦函数公式,诱导公式,三角形的面积公式,以及特殊角的三角函数,熟练掌握定理及公式是解本题的关键.
(II)由第一问求出的B的度数,得到sinB的值,同时利用余弦定理得到b2=a2+c2-2accosB,配方化简后,把cosB,b,及a+c的值代入,求出ac的值,最后由ac及sinB的值,利用三角形的面积公式即可求出三角形ABC的面积.
解答:解:(I)由已知得
即2sinAcosB+sinCcosB=-sinBcosC,
即2sinAcosB+sin(B+C)=0.…3分
∵B+C=π-A,∴sin(B+C)=sin(π-A)=sinA,
∴
(II)由(I)得
将
∴
点评:此题考查了正弦、余弦定理,两角和与差的正弦函数公式,诱导公式,三角形的面积公式,以及特殊角的三角函数,熟练掌握定理及公式是解本题的关键.
练习册系列答案
相关题目
在△ABC中,∠A、∠B、∠C所对的边长分别是a、b、c.满足2acosC+ccosA=b.则sinA+sinB的最大值是( )
A、
| ||||
| B、1 | ||||
C、
| ||||
D、
|