题目内容
设抛物线
的焦点为
,准线为
,
,以
为圆心的圆
与
相切于点
,
的纵坐标为
,
是圆
与
轴除
外的另一个交点.
(I)求抛物线
与圆
的方程;
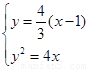
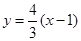
(II)过
且斜率为
的直线
与
交于
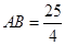
两点,求
的面积.
【答案】
(I)抛物线为:
,圆的方程为:
;( II)
.
【解析】
试题分析:(I)根据抛物线的方程与准线,可得
,由
的纵坐标为
,
的纵坐标为
,即
,则
,由题意可知:
,则在等腰三角形中有
或
,由于
不重合,则
.则抛物线与圆的方程就得出.
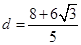
(II)对于圆锥曲线中求面积题目,第一求出弦长,第二求出点到直线距离即可,根据题意可写出直线方程
,联立
得
或
,则
,由点到直线距离得
即
.
试题解析:(I)根据抛物线的定义:有
由
的纵坐标为
,
的纵坐标为![]()
,
,则
,又由
得
,
则抛物线为:
,圆的方程为:![]()
(II) 根据题意可写出直线方程
,联立
得
或
,则
,
由点到直线距离得
即
.
考点:1.抛物线定义以及抛物线与直线间的关系,2.求面积问题.
练习册系列答案
相关题目
从抛物线y2=4x上一点P引其准线的垂线,垂足为M,设抛物线的焦点为F,且|PF|=5,则△MPF的面积为( )
A、5
| ||||
B、
| ||||
| C、20 | ||||
| D、10 |
从抛物线y2=4x上一点P引抛物线准线的垂线,垂足为M,且|PM|=5,设抛物线的焦点为F,则△MPF的面积为( )
| A、6 | B、8 | C、10 | D、15 |