题目内容
已知数列{an}的各项都是正数,且满足:a0=1,an+1=
an(4-an),n∈N,
(1)证明an<an+1<2,n∈N;
(2)求数列{an}的通项公式an。
(1)证明an<an+1<2,n∈N;
(2)求数列{an}的通项公式an。
解:(1)用数学归纳法证明:
1°当n=1时,
,
∴
,命题正确;
2°假设n=k时有
,
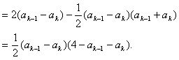
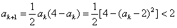
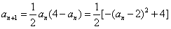
则n=k+1时,

而
,
∴
,
又
,
∴n=k+1时命题正确;
由1°、2°知,对一切n∈N时有
。
(2)下面来求数列的通项:
,
所以
,
令
,
则
,
又bn=-1,
所以
,即
。
1°当n=1时,
∴
2°假设n=k时有
则n=k+1时,
而
∴
又
∴n=k+1时命题正确;
由1°、2°知,对一切n∈N时有
(2)下面来求数列的通项:
所以
令
则
又bn=-1,
所以
练习册系列答案
相关题目