题目内容
已知函数
,g(x)=lnx.
(Ⅰ)如果函数y=f(x)在[1,+∞)上是单调增函数,求a的取值范围;
(Ⅱ)是否存在实数a>0,使得方程
在区间
内有且只有两个不相等的实数根?若存在,请求出a的取值范围;若不存在,请说明理由.
(Ⅰ)如果函数y=f(x)在[1,+∞)上是单调增函数,求a的取值范围;
(Ⅱ)是否存在实数a>0,使得方程
解:(Ⅰ)当a=0时,f(x)=2x在[1,+∞)上是单调增函数,符合题意.
当a>0时,y=f(x)的对称轴方程为
,
由于y=f(x)在[1,+∞)上是单调增函数,
所以
,解得a≤﹣2或a>0,所以a>0.
当a<0时,不符合题意.
综上,a的取值范围是a≥0.
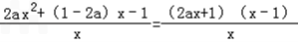
(Ⅱ)把方程
整理为
,
即为方程ax2+(1﹣2a)x﹣lnx=0.
设H(x)=ax2+(1﹣2a)x﹣lnx(x>0),
原方程在区间(
)内有且只有两个不相等的实数根,
即为函数H(x)在区间(
)内有且只有两个零点
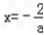
=
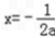
令H′(x)=0,因为a>0,解得x=1或
(舍)
当x∈(0,1)时,H′(x)<0,H(x)是减函数;
当x∈(1,+∞)时,H′(x)>0,H(x)是增函数.
H(x)在(
)内有且只有两个不相等的零点,
只需
即
∴
解得
,
所以a的取值范围是(
).
当a>0时,y=f(x)的对称轴方程为
由于y=f(x)在[1,+∞)上是单调增函数,
所以
当a<0时,不符合题意.
综上,a的取值范围是a≥0.
(Ⅱ)把方程
即为方程ax2+(1﹣2a)x﹣lnx=0.
设H(x)=ax2+(1﹣2a)x﹣lnx(x>0),
原方程在区间(
即为函数H(x)在区间(
令H′(x)=0,因为a>0,解得x=1或
当x∈(0,1)时,H′(x)<0,H(x)是减函数;
当x∈(1,+∞)时,H′(x)>0,H(x)是增函数.
H(x)在(
只需
∴
所以a的取值范围是(
练习册系列答案
相关题目