题目内容
已知函数(1)讨论函数y=f(x)的单调区间;
(2)设g(x)=x2-2bx+4-ln2,当a=1时,若对任意的x1,x2∈[1,e](e是自然对数的底数),f(x1)≥g(x2),求实数b的取值范围.
【答案】分析:(1)求出导数f′(x),利用导数与函数单调性的关系解出不等式f′(x)>0,f′(x)<0即可.
(2)由题意得,对任意的x1,x2∈[1,e](e是自然对数的底数),f(x1)≥g(x2)成立,可转化为当x∈[1,e]时,[f(x)]min≥[g(x)]max.
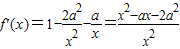
解答:解:(1)因为f(x)=x+
,所以
=
,
①若a=0,f(x)=x,f(x)在(0,+∞)上单调递减.
②若a>0,当x∈(0,2a)时,f′(x)<0,f(x)在(0,2a)上单调递减;当x∈(2a,+∞)时,f′(x)>0,f(x)在(2a,+∞)上单调递增.
③若a<0,当x∈(0,-a)时,f′(x)<0,f(x)在(0,-a)上单调递减;当x∈(-a,+∞)时,f′(x)>0,f(x)在(-a,+∞)上单调递增.
综上:①当a=0时,f(x)在(0,+∞)上单调递增.
②当a>0时,f(x)在(0,2a)上单调递减,在(2a,+∞)上单调递增.
③当a<0时,f(x)在(0,-a)上单调递减,在(-a,+∞)上单调递增.
(2)当a=1时,f(x)=x+
.
由(1)知,若a=1,当x∈(0,2)时,f(x)单调递减,当x∈(2,+∞)时,f(x)单调递增,
所以f(x)min=f(2)=3-ln2.
因为对任意的x1,x2∈[1,e],都有f(x1)≥g(x2)成立,
所以问题等价于对于任意x∈[1,e],f(x)min≥g(x)恒成立,
即3-ln2≥x2-2bx+4-ln2对于任意x∈[1,e]恒成立,
即2b
对于任意x∈[1,e]恒成立,
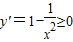
因为函数y=
的导数
在[1,e]上恒成立,
所以函数y=x+
在[1,e]上单调递增,所以
,
所以2b
,所以b
,
故实数b的取值范围为[
).
点评:本题考查了利用导数研究函数的单调性、求函数最值问题.函数恒成立问题常转化为函数最值问题解决.
(2)由题意得,对任意的x1,x2∈[1,e](e是自然对数的底数),f(x1)≥g(x2)成立,可转化为当x∈[1,e]时,[f(x)]min≥[g(x)]max.
解答:解:(1)因为f(x)=x+
①若a=0,f(x)=x,f(x)在(0,+∞)上单调递减.
②若a>0,当x∈(0,2a)时,f′(x)<0,f(x)在(0,2a)上单调递减;当x∈(2a,+∞)时,f′(x)>0,f(x)在(2a,+∞)上单调递增.
③若a<0,当x∈(0,-a)时,f′(x)<0,f(x)在(0,-a)上单调递减;当x∈(-a,+∞)时,f′(x)>0,f(x)在(-a,+∞)上单调递增.
综上:①当a=0时,f(x)在(0,+∞)上单调递增.
②当a>0时,f(x)在(0,2a)上单调递减,在(2a,+∞)上单调递增.
③当a<0时,f(x)在(0,-a)上单调递减,在(-a,+∞)上单调递增.
(2)当a=1时,f(x)=x+
由(1)知,若a=1,当x∈(0,2)时,f(x)单调递减,当x∈(2,+∞)时,f(x)单调递增,
所以f(x)min=f(2)=3-ln2.
因为对任意的x1,x2∈[1,e],都有f(x1)≥g(x2)成立,
所以问题等价于对于任意x∈[1,e],f(x)min≥g(x)恒成立,
即3-ln2≥x2-2bx+4-ln2对于任意x∈[1,e]恒成立,
即2b
因为函数y=
所以函数y=x+
所以2b
故实数b的取值范围为[
点评:本题考查了利用导数研究函数的单调性、求函数最值问题.函数恒成立问题常转化为函数最值问题解决.
练习册系列答案
相关题目