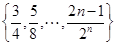
题目内容

的所有非空子集中的最小元素的和为,则=    .

 

【答案】

【解析】

试题分析:这个问题主要是研究集合中的每个元素在和中分别出现多少次,事实上,以为例,集合中比大的所有元素组成的集合的所有子集共有个,把加进这些子集里形成新的集合,每个都是最小元素为的集合的子集,而最小元素为的集合的子集也就是这些,故在出现次,同理出现次,…,出现1次,所以有,这个和用错位相减法可求得.

考点:子集的个数,借位相减法求数列的和.

 

练习册系列答案
相关题目

违法和不良信息举报电话:027-86699610 举报邮箱:58377363@163.com

精英家教网