题目内容

已知定义域为R的函数是奇函数.
(1)求a的值;
(2)判断函数f(x)在R上的单调性,并证明你的结论.
(3)是否存在实数k,对于任意t∈1,2],不等式f(t2﹣2t)+f(2t2﹣k)>0恒成立,若存在,求出实数k的取值范围,若不存在,说明理由。

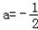
解:(1 ) 因为f(x)为R上的奇函数,
 所以f(0)=0 。
 ∴
(2)f(x)是R上的减函数.理由如下:
任取x1,x2∈R,且,则

∵x1<x2, 
 ∴ 。
 ∴
即f(x1)>f(x2),所以f(x)是R上的减函数。
(3)若不等式f(t2﹣2t)+f(2t2﹣k)>0恒成立, 
则f(t2﹣2t)>﹣f(2t2﹣k) 。
 又f(x)是R上的奇函数,所以f(t2﹣2t)>f(k﹣2t2)。
又f(x)是R上的减函数,所以t2﹣2t<k﹣2t2对t∈[1,2]恒成立 。
 即3t2﹣2t<k对t∈[1,2]恒成立。 
 方法一:∴k>(3t2﹣2t)max,t∈[1,2] ,
时,g(t)是t的增函数 ,
所以g(t)max=g(2)=8,所以k>8 。
方法二:g(t)=3t2﹣2t﹣k,要使3t2﹣2t﹣k<0对t∈[1,2]恒成立 , 
 只需即可所以
所以k>8 。
综上:存在实数k∈(8,+∞)时,对于任意t∈[1,2] 。

练习册系列答案
相关题目

违法和不良信息举报电话:027-86699610 举报邮箱:58377363@163.com

精英家教网