搜索
题目内容
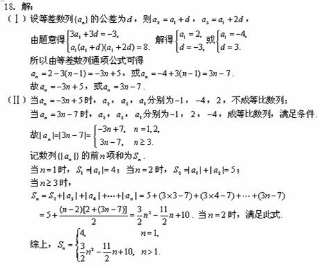
已知等差数列{a
n
}前三项的和为-3,前三项的积为8.
(1)求等差数列{a
n
}的通项公式;
(2)若a
2
,a
3
,a
1
成等比数列,求数列
的前n项的和。
试题答案
相关练习册答案
练习册系列答案
全品基础小练习系列答案
全品学练考系列答案
实验班提优训练系列答案
启东中学作业本系列答案
综合应用创新题典中点系列答案
特高级教师点拨系列答案
名校课堂内外系列答案
课堂点睛系列答案
打好基础高效课堂金牌作业本系列答案
一本系列答案
相关题目
已知等差数列{a
n
},公差d不为零,a
1
=1,且a
2
,a
5
,a
14
成等比数列;
(1)求数列{a
n
}的通项公式;
(2)设数列{b
n
}满足
b
n
=
a
n
•
3
n-1
,求数列{b
n
}的前n项和S
n
.
已知等差数列{a
n
}中:a
3
+a
5
+a
7
=9,则a
5
=
.
已知等差数列{a
n
}满足:a
5
=11,a
2
+a
6
=18.
(1)求{a
n
}的通项公式;
(2)若b
n
=a
n
+q
a
n
(q>0),求数列{b
n
}的前n项和S
n
.
已知等差数列{a
n
}满足a
2
=0,a
6
+a
8
=-10
(1)求数列{a
n
}的通项公式;
(2)求数列{|a
n
|}的前n项和;
(3)求数列{
a
n
2
n-1
}的前n项和.
已知等差数列{a
n
}中,a
4
a
6
=-4,a
2
+a
8
=0,n∈N
*
.
(Ⅰ)求数列{a
n
}的通项公式;
(Ⅱ)若{a
n
}为递增数列,请根据如图的程序框图,求输出框中S的值(要求写出解答过程).
关 闭
试题分类
高中
数学
英语
物理
化学
生物
地理
初中
数学
英语
物理
化学
生物
地理
小学
数学
英语
其他
阅读理解答案
已回答习题
未回答习题
题目汇总
试卷汇总
练习册解析答案