题目内容
已知定义在(-1,1)上的函数f(x)=x-sinx,若f(a-2)+f(4-a2)<0,则a的取值范围是( )A.(-∞,-1)∪(2,+∞)
B.
C.
D.(0,2)
【答案】分析:有意义函数f(x)=x-sinx且定义域(-1,1),并且此函数利用结论已得到其为奇函数,且为在定义域内为单调递增函数,所以f(a-2)+f(4-a2)<0?f(a-2)<-f(4-a2),然后进行求解即可.
解答:解:由f(x)=x-sinx且定义域(-1,1),
求导得:f′(x)=1-cosx≥0在定义域上恒成立,
所以函数在定义域上为单调递增函数,
又因为y=x与y=-sinx均为奇函数,所以其和为奇函数,
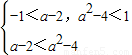
所以f(a-2)+f(4-a2)<0?
解可得
故选C.
点评:此题考查了利用函数的单调性及奇偶性求解抽象函数的不等式,还考查了不等式的求解及集合的交集.
解答:解:由f(x)=x-sinx且定义域(-1,1),
求导得:f′(x)=1-cosx≥0在定义域上恒成立,
所以函数在定义域上为单调递增函数,
又因为y=x与y=-sinx均为奇函数,所以其和为奇函数,
所以f(a-2)+f(4-a2)<0?
解可得
故选C.
点评:此题考查了利用函数的单调性及奇偶性求解抽象函数的不等式,还考查了不等式的求解及集合的交集.
练习册系列答案
相关题目