题目内容
如图,在凸四边形
中,
为定点,
为动点,满足
.
![]()
(I)写出
与
的关系式;
(II)设
的面积分别为
和
,求
的最大值.
【答案】
(1)
;(2)
有最大值
.
【解析】
试题分析:本题主要考查解三角形中的余弦公式、三角形的面积公式、平方关系、配方法求函数的最值等数学知识,考查运用三角公式进行三角变换的能力、计算能力.第一问,在
和
中利用余弦定理分别求
,两式联立,得到
和
的关系式;第二问,先利用面积公式展开求出
和
,化简
,利用平方关系,将
,
转化为
,
,再将第一问的结论代入,配方法求函数最值.
试题解析:(I)由余弦定理,在
中,
=
,
在
中,![]()
.
所以
=
,即
4分
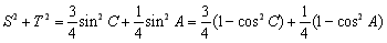
(II)
6分
所以![]()
![]()
10分
由题意易知,
,所以![]()
当
时,
有最大值
. 12分
考点:1.余弦定理;2.三角形面积公式;3.平方关系;4.配方法求函数最值.
练习册系列答案
相关题目