题目内容
在△ABC中,A,B为锐角,角A,B,C所对应的边分别为a,b,c,且cos2A=
,sinB=
,
(1)求A+B的值;
(2)若a-b=
-1,求a,b,c的值。
(1)求A+B的值;
(2)若a-b=
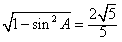
解:(1)∵A、B为锐角,sinB=
,
∴cosB=
,
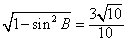
又cos2A=1-2sin2A=
,
∴sinA=
,cosA=
,
∴cos(A+B)=cosAcosB-sinAsinB
,
∵0<A+B<π,
∴A+B=
。
(2)由(1)知C=
,
∴sinC=
,
由正弦定理
得
,
即
,
∵a-b=
,
∴
,
∴b=1,
∴
,c=5。
∴cosB=
又cos2A=1-2sin2A=
∴sinA=
∴cos(A+B)=cosAcosB-sinAsinB
∵0<A+B<π,
∴A+B=
(2)由(1)知C=
∴sinC=
由正弦定理
即
∵a-b=
∴
∴b=1,
∴
练习册系列答案
相关题目
在△ABC中,∠A、∠B、∠C所对的边长分别是a、b、c.满足2acosC+ccosA=b.则sinA+sinB的最大值是( )
A、
| ||||
| B、1 | ||||
C、
| ||||
D、
|