题目内容
已知数列{an}的前n项和Sn满足:Sn=a(Sn-an+1)(a为常数,且a≠0,a≠1),
(1)求{an}的通项公式;
(2)设bn=an2+Sn·an,若数列{bn}为等比数列,求a的值;
(3)在满足条件(2)的情形下,设
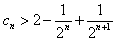
,数列{cn}的前n项和为Tn,求证:Tn>2n-
。
(1)求{an}的通项公式;
(2)设bn=an2+Sn·an,若数列{bn}为等比数列,求a的值;
(3)在满足条件(2)的情形下,设
解:(1)
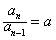
,所以
,
当n≥2时,
,
,
两式相减得
,即
,
所以{an}为等比数列,
。
(2)由(1)知
,
若{bn}是等比数列,则有
,
而
,
,
故
,解得
,
再将
代入得
,满足题意,
所以
。
(3)由(1)、(2)知
,
所以
,
所以
,
故
。
当n≥2时,
两式相减得
所以{an}为等比数列,
(2)由(1)知
若{bn}是等比数列,则有
而
故
再将
所以
(3)由(1)、(2)知
所以
所以
故
练习册系列答案
相关题目
已知数列{an}的前n项和Sn=an2+bn(a、b∈R),且S25=100,则a12+a14等于( )
| A、16 | B、8 | C、4 | D、不确定 |