搜索
题目内容
已知线性方程组的增广矩阵为
,则其对应的方程组为_____________
试题答案
相关练习册答案
解析
练习册系列答案
应用题天天练南海出版公司系列答案
易百分课时训练系列答案
步步高达标卷系列答案
新路学业1课3练课堂学练考系列答案
单元达标重点名校调研卷系列答案
高考调研衡水重点中学同步精讲精练系列答案
大显身手素质教育单元测评卷系列答案
随堂讲与练系列答案
开放课堂义务教育新课程导学案系列答案
二期课改配套教辅读物系列答案
相关题目
已知线性方程组的增广矩阵为
0
2
4
-1
0
1
a
4
3
5
7
1
,若该线性方程组无解,则a=
.
(2009•长宁区二模)已知线性方程组的增广矩阵为
2
-1
1
1
-2
0
,则其线性方程组为
2x-y=1
x-2y=0
2x-y=1
x-2y=0
.
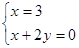
(2011•奉贤区二模)已知线性方程组的增广矩阵为
1
0
3
2
1
0
,则其对应的方程组为
x=3
2x+y=0
x=3
2x+y=0
.
已知线性方程组的增广矩阵为
,则其对应的方程组为_____________
已知线性方程组的增广矩阵为
,则其对应的方程组为
.
关 闭
试题分类
高中
数学
英语
物理
化学
生物
地理
初中
数学
英语
物理
化学
生物
地理
小学
数学
英语
其他
阅读理解答案
已回答习题
未回答习题
题目汇总
试卷汇总
练习册解析答案