题目内容
已知a、b、c是实数,函数
,
,当
时,
.
(1)证明:
;
(2)证明:当
时,
;
答案见解析
解析:
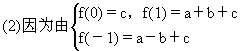
解 (1)|c|=|f(0)|≤1(因为0∈[-1,1]).
![]()
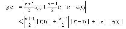
![]()
![]()
所以当-1≤x≤1时,
![]()
![]()
练习册系列答案
相关题目
题目内容
已知a、b、c是实数,函数
,
,当
时,
.
(1)证明:
;
(2)证明:当
时,
;
答案见解析
解 (1)|c|=|f(0)|≤1(因为0∈[-1,1]).
![]()
![]()
![]()
所以当-1≤x≤1时,
![]()
![]()