题目内容
已知函数y=f(x)是定义在R上的奇函数,当x>0时,f(x)=x2-2x+1,则函数f(x)的解析式 .
【答案】分析:设x<0,则-x>0.由已知可得f(-x)=(-x)2-2(-x)+1=x2+2x+1=-f(x),由此可得x<0时f(x)的解析式.再由奇函数的性质可得f(0)=0,从而得到函数f(x)
在其定义域R上的解析式.
解答:解:设x<0,则-x>0,∵当x>0时,f(x)=x2-2x+1,∴f(-x)=(-x)2-2(-x)+1=x2+2x+1.
再由数y=f(x)是定义在R上的奇函数可得-f(x)=x2+2x+1,∴f(x)=-x2-2x-1.
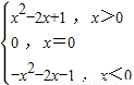
综上可得,f(x)=
,
故答案为
.
点评:本题主要考查利用奇函数的定义求函数的解析式,属于基础题.
在其定义域R上的解析式.
解答:解:设x<0,则-x>0,∵当x>0时,f(x)=x2-2x+1,∴f(-x)=(-x)2-2(-x)+1=x2+2x+1.
再由数y=f(x)是定义在R上的奇函数可得-f(x)=x2+2x+1,∴f(x)=-x2-2x-1.
综上可得,f(x)=
故答案为
点评:本题主要考查利用奇函数的定义求函数的解析式,属于基础题.
练习册系列答案
相关题目