题目内容
已知函数f(x)=(1)判断函数f(x)的奇偶性
(2)求f(x)的值域
(3)证明f(x)在(-∞,+∞)上是增函数.
【答案】分析:(1)求出函数的定义域,利用函数的奇偶性的定义,判断f(x)的奇偶性.
(2)通过分离常数,根据指数函数的值域,求出f(x)的值域.
(3)利用函数单调性的定义,证明f(x)在(-∞,+∞)上是增函数.
解答:解:(1)f(x)的定义域为R,
f(-x)=
,
∴f(x)是奇函数.
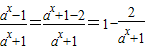
(2)f(x)=
.
∴ax>0,∴0<
<2,
∴-1<1-
<1,
∴f(x)的值域为(-1,1)
(3)设x1<x2,则f(x1)-f(x2)=
=
∵a>1,x1<x2,∴
又∵
∴f(x1)-f(x2)<0,即f(x1)<f(x2)
∴函数f(x)在(-∞,+∞)上是增函数.
点评:本题考查函数奇偶性的判断,函数的值域,函数单调性的判断与证明,考查计算能力,转化思想,是好题.
(2)通过分离常数,根据指数函数的值域,求出f(x)的值域.
(3)利用函数单调性的定义,证明f(x)在(-∞,+∞)上是增函数.
解答:解:(1)f(x)的定义域为R,
f(-x)=
∴f(x)是奇函数.
(2)f(x)=
∴ax>0,∴0<
∴-1<1-
∴f(x)的值域为(-1,1)
(3)设x1<x2,则f(x1)-f(x2)=
=
∵a>1,x1<x2,∴
又∵
∴f(x1)-f(x2)<0,即f(x1)<f(x2)
∴函数f(x)在(-∞,+∞)上是增函数.
点评:本题考查函数奇偶性的判断,函数的值域,函数单调性的判断与证明,考查计算能力,转化思想,是好题.
练习册系列答案
相关题目
已知函数f(x)=x2-bx的图象在点A(1,f(1))处的切线l与直线3x-y+2=0平行,若数列{
}的前n项和为Sn,则S2010的值为( )
| 1 |
| f(n) |
A、
| ||
B、
| ||
C、
| ||
D、
|