题目内容
已知二次函数y=f(x)的图象经过原点,且f(x-1)=f(x)+x-1.(1)求f(x)的表达式.
(2)设F(x)=4f(ax)+3a2x-1(a>0且a≠1),当x∈[-1,1]时,F(x)有最大值14,试求a的值.
【答案】分析:(1)待定系数法:由f(x)图象经过原点可设f(x)=ax2+bx(a≠0),由f(x-1)=f(x)+x-1得关于a,b的方程组,解出即可;
(2)F(x)可化为F(x)=a2x+2ax-1,令t=ax,则F(x)可转化为关于t的二次函数,分a>1,0<a<1两种情况进行讨论,利用二次函数的单调性可得最大值,令其为14,可解得a值;
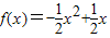
解答:解:(1)∵函数f(x)图象经过原点,∴设f(x)=ax2+bx(a≠0),
∵f(x-1)=f(x)+x-1,
∴a(x-1)2+b(x-1)=ax2+bx+x-1,即ax2-(2a-b)x+a-b=ax2+(b+1)x-1,
∴
.
∴
.
(2)由F(x)=4f(ax)+3a2x-1(a>0且a≠1),得F(x)=a2x+2ax-1,
①当a>1时,令t=ax,
∵x∈[-1,1],∴
,
∴g(t)=t2+2t-1=(t+1)2-2,
,
∵对称轴t=-1,∴g(t)在
上是增函数.
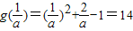
∴g(a)=a2+2a-1=14,∴a2+2a-15=0,解得a=3,a=-5(舍);
②当0<a<1时,
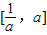
令u=ax,∵x∈[-1,1],∴
,
∴g(u)=u2+2u-1=(u+1)2-2,
,
∵对称轴u=-1,∴g(u)在
上是增函数.
∴
,∴
(舍),∴
,
综上
或a=3.
点评:本题考查复合函数的单调性、二次函数的性质,考查分类讨论思想,考查学生解决问题的能力.
(2)F(x)可化为F(x)=a2x+2ax-1,令t=ax,则F(x)可转化为关于t的二次函数,分a>1,0<a<1两种情况进行讨论,利用二次函数的单调性可得最大值,令其为14,可解得a值;
解答:解:(1)∵函数f(x)图象经过原点,∴设f(x)=ax2+bx(a≠0),
∵f(x-1)=f(x)+x-1,
∴a(x-1)2+b(x-1)=ax2+bx+x-1,即ax2-(2a-b)x+a-b=ax2+(b+1)x-1,
∴
∴
(2)由F(x)=4f(ax)+3a2x-1(a>0且a≠1),得F(x)=a2x+2ax-1,
①当a>1时,令t=ax,
∵x∈[-1,1],∴
∴g(t)=t2+2t-1=(t+1)2-2,
∵对称轴t=-1,∴g(t)在
∴g(a)=a2+2a-1=14,∴a2+2a-15=0,解得a=3,a=-5(舍);
②当0<a<1时,
令u=ax,∵x∈[-1,1],∴
∴g(u)=u2+2u-1=(u+1)2-2,
∵对称轴u=-1,∴g(u)在
∴
综上
点评:本题考查复合函数的单调性、二次函数的性质,考查分类讨论思想,考查学生解决问题的能力.
练习册系列答案
相关题目