题目内容
已知定义在R上的函数f(x)、g(x)满足A.4
B.5
C.6
D.7
【答案】分析:利用导数研究函数的单调性得到a的范围,再利用等比数列前n项和公式即可得出.
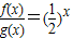
解答:解:∵
=
,f′(x)g(x)<f(x)g′(x),
∴
=
<0,即函数
单调递减,∴0<a<1.
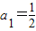
又
,即
,即
,解得a=2(舍去)或
.
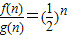
∴
,即数列
是首项为
,公比
的等比数列,
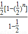
∴
=
=
,
由
解得n=5,
故选B.
点评:熟练掌握导数研究函数的单调性、等比数列前n项和公式是解题的关键.
解答:解:∵
∴
又
∴
∴
由
故选B.
点评:熟练掌握导数研究函数的单调性、等比数列前n项和公式是解题的关键.
练习册系列答案
相关题目
已知定义在R上的函数f(x),对任意x∈R,都有f(x+6)=f(x)+f(3)成立,若函数y=f(x+1)的图象关于直线x=-1对称,则f(2013)=( )
| A、0 | B、2013 | C、3 | D、-2013 |