题目内容
在△ABC中,角A,B,C的对边分别为a,b,c,已知sin22C+sin2C·sinC+cos2C=1,且a+b=5,c=
,
(Ⅰ)求角C的大小;
(Ⅱ)求△ABC的面积。
(Ⅰ)求角C的大小;
(Ⅱ)求△ABC的面积。
解:(Ⅰ)sin22C+sin2C·sinC+cos2C=1
4sin2C·cos2C+2sin2C·cosC+1-2sin2C=1
2sin2C(2cos2C+cosC-1)=0,
∴2sin2C(2cosC-1)(cosC+1)=0,
∵在△ABC中,sinC≠0,cosC>-1,
∴
,
∴
;
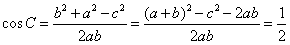
(Ⅱ)
,
∴
,∴ab=6,
∴
。
∴2sin2C(2cosC-1)(cosC+1)=0,
∵在△ABC中,sinC≠0,cosC>-1,
∴
∴
(Ⅱ)
∴
∴
练习册系列答案
相关题目
在△ABC中,角A、B、C所对的边分别为a,b,c,若b2+c2-a2=
bc,且b=
a,则下列关系一定不成立的是( )
| 3 |
| 3 |
| A、a=c |
| B、b=c |
| C、2a=c |
| D、a2+b2=c2 |