题目内容
函数y=
【答案】分析:根据偶次根式下大于等于0,对数函数的真数大于0建立不等式关系,然后解之即可求出函数的定义域.
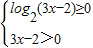
解答:解:根据函数y=
有意义可知

解得:x≥1
故答案为:[1,+∞)
点评:本题主要考查了对数函数的定义域及其求法,以及偶次根式的定义域,属于基础题.
解答:解:根据函数y=
解得:x≥1
故答案为:[1,+∞)
点评:本题主要考查了对数函数的定义域及其求法,以及偶次根式的定义域,属于基础题.
练习册系列答案
相关题目