题目内容
已知曲线y=xlnx(x>
)在点(t,tlnt)处的切线l交x轴于点A,交y轴于点B,△AOB(O为坐标原点)的面积为S,
(Ⅰ)试写出S关于t的函数关系式;
(Ⅱ)求面积S的最小值;
(Ⅲ)若
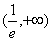
对于t>
恒成立,求实数a的取值范围。
(Ⅰ)试写出S关于t的函数关系式;
(Ⅱ)求面积S的最小值;
(Ⅲ)若
解:(Ⅰ)曲线
在点(t,tlnt)处的切线斜率为y′=1+lnt,
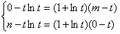
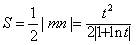
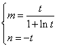
设 A(m,0),B(0,n),
则
,解得
,
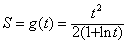
所以
,
注意到
时,1+lnt>0,
故
为所求;
(Ⅱ)记
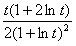
,则S′=g′(t)=
,
,
∴
时,S′<0;
时,S′>0,
即函数S=g(t)在
上单调递减,在
上单调递增,
,
所以面积S的最小值为
,当且仅当
时取到;
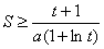
(Ⅲ)由
,及1+lnt>0得,
对t>
恒成立,
记u(t)=
,则u′(t)=
,
当
,即a<0或a≥e时,u′(t)>0恒成立,
此时u(t)在
上单调递增,
∴
,解得a<0或a≥2e2+2e,
当
,即0<a<e时,u′(t)>0
,
所以函数u(t)在
上单调递减,在
上单调递增,
此时
,
∴
,此方程无解;
综上,a<0或a≥2e2+2e为所求。
设 A(m,0),B(0,n),
则
所以
注意到
故
(Ⅱ)记
∴
即函数S=g(t)在
所以面积S的最小值为
(Ⅲ)由
记u(t)=
当
此时u(t)在
∴
当
所以函数u(t)在
此时
∴
综上,a<0或a≥2e2+2e为所求。
练习册系列答案
相关题目
已知曲线C的方程为y=xlnx,则C上点x=1处的切线的倾斜角为( )
A、
| ||
B、
| ||
C、
| ||
D、
|