题目内容
已知函数(1)求θ的值;
(2)若f(x)-g(x)在[1,+∞)上为单调函数,求m的取值范围;
(3)设
【答案】分析:(1)由题意可知
.由θ∈(0,π),知sinθ>0.再由sinθ≥1,结合θ∈(0,π),可以得到θ的值.
(2)由题设条件知
.mx2-2x+m≥0或者mx2-2x+m≤0在[1,+∞)恒成立.由此知
,由此可知m的取值范围.
(3)构造F(x)=f(x)-g(x)-h(x),
.由此入手可以得到m的取值范围是
.
解答:解:(1)由题意,
≥0在[1,+∞)上恒成立,即
.
∵θ∈(0,π),∴sinθ>0.故sinθ•x-1≥0在[1,+∞)上恒成立,只须sinθ•1-1≥0,
即sinθ≥1,只有sinθ=1.结合θ∈(0,π),得
.
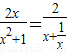
(2)由(1),得f(x)-g(x)=
.
∴
.
∵f(x)-g(x)在其定义域内为单调函数,
∴mx2-2x+m≥0或者mx2-2x+m≤0在[1,+∞)恒成立.mx2-2x+m≥0等价于m(1+x2)≥2x,即
,
而
,(
)max=1,∴m≥1.mx2-2x+m≤0等价于m(1+x2)≤2x,即
在[1,+∞)恒成立,而
∈(0,1],m≤0.
综上,m的取值范围是(-∞,0]∪[1,+∞).
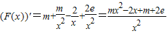
(3)构造F(x)=f(x)-g(x)-h(x),
.
当m≤0时,x∈[1,e],
,
,
所以在[1,e]上不存在一个x,使得f(x)-g(x)>h(x)成立.
当m>0时,
.
因为x∈[1,e],所以2e-2x≥0,mx2+m>0,
所以(F(x))'>0在x∈[1,e]恒成立.
故F(x)在[1,e]上单调递增,
,只要
,
解得
.
故m的取值范围是
.
点评:本题考查函数的性质和应用,解题时要认真审题,注意挖掘隐含条件,仔细解答.
(2)由题设条件知
(3)构造F(x)=f(x)-g(x)-h(x),
解答:解:(1)由题意,
∵θ∈(0,π),∴sinθ>0.故sinθ•x-1≥0在[1,+∞)上恒成立,只须sinθ•1-1≥0,
即sinθ≥1,只有sinθ=1.结合θ∈(0,π),得
(2)由(1),得f(x)-g(x)=
∴
∵f(x)-g(x)在其定义域内为单调函数,
∴mx2-2x+m≥0或者mx2-2x+m≤0在[1,+∞)恒成立.mx2-2x+m≥0等价于m(1+x2)≥2x,即
而
在[1,+∞)恒成立,而
综上,m的取值范围是(-∞,0]∪[1,+∞).
(3)构造F(x)=f(x)-g(x)-h(x),
当m≤0时,x∈[1,e],
所以在[1,e]上不存在一个x,使得f(x)-g(x)>h(x)成立.
当m>0时,
因为x∈[1,e],所以2e-2x≥0,mx2+m>0,
所以(F(x))'>0在x∈[1,e]恒成立.
故F(x)在[1,e]上单调递增,
解得
故m的取值范围是
点评:本题考查函数的性质和应用,解题时要认真审题,注意挖掘隐含条件,仔细解答.
练习册系列答案
相关题目