题目内容
已知数列{an}的前n项和Sn满足(1)求数列{an}的通项;
(2)求数列{bn}的前n项和Tn.
【答案】分析:(1)利用
即可得出;
(2)利用(1)可得
=nan.当a=1时,Tn=1+2+…+n利用等差数列的前n项和公式即可得出;当a≠1时,Tn=a+2a2+3a3+…+nan,利用错位相减法和等比数列的前n项公式即可得出.
解答:解:(1)当n=1时,a1=a>0且a≠1,
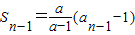
当n≥2时,
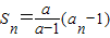
,
,
两式相减得
,化为
,
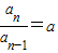
∴数列{an}是等比数列,
;
(2)
=nan.
当a=1时,Tn=1+2+…+n=
.
当a≠1时,Tn=a+2a2+3a3+…+nan,
+…++(n-1)an+nan+1,
∴(1-a)Tn=a+a2+…+an-nan+1=
,
∴Tn=
.
点评:熟练掌握
、等差数列的前n项和公式、错位相减法和等比数列的前n项公式是解题的关键.
(2)利用(1)可得
解答:解:(1)当n=1时,a1=a>0且a≠1,
当n≥2时,
两式相减得
∴数列{an}是等比数列,
(2)
当a=1时,Tn=1+2+…+n=
当a≠1时,Tn=a+2a2+3a3+…+nan,
∴(1-a)Tn=a+a2+…+an-nan+1=
∴Tn=
点评:熟练掌握
练习册系列答案
相关题目
已知数列{an}的前n项和Sn=an2+bn(a、b∈R),且S25=100,则a12+a14等于( )
| A、16 | B、8 | C、4 | D、不确定 |