题目内容
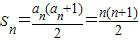
已知数列{an}的各项均为正数,前n项和为Sn,且(Ⅰ)求数列{an}的通项公式;
(Ⅱ)设
【答案】分析:(Ⅰ)由
,知
,
,所以(an+an-1)(an-an-1-1)=0,由此能求出an=n.
(Ⅱ)由
,知
,由此能求出Tn.
解答:解:(Ⅰ)∵
,
∴
,①
,②
由①-②得:
,(2分)
(an+an-1)(an-an-1-1)=0,
∵an>0,∴
,
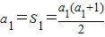
又∵
,
∴a1=1,∴
,(5分)
当n=1时,a1=1,符合题意.
故an=n.(6分)
(Ⅱ)∵
,
∴
,(10分)
故
.(12分)
点评:本题考查数列的通项公式和前n项和公式的求法,解题时要认真审题,注意迭代法和裂项求和法的合理运用.
(Ⅱ)由
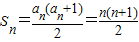
解答:解:(Ⅰ)∵
∴
由①-②得:
(an+an-1)(an-an-1-1)=0,
∵an>0,∴
又∵
∴a1=1,∴
当n=1时,a1=1,符合题意.
故an=n.(6分)
(Ⅱ)∵
∴
故
点评:本题考查数列的通项公式和前n项和公式的求法,解题时要认真审题,注意迭代法和裂项求和法的合理运用.
练习册系列答案
相关题目