题目内容

(本小题满分12分)

已知椭圆的左右焦点分别为,短轴两个端点为

且四边形是边长为2的正方形。

(1)求椭圆方程;

(2)若分别是椭圆长轴的左右端点,动点满足,连接,交椭圆于点

证明:为定值;

(3)在(2)的条件下,试问轴上是否存在异于点的定点,使得以为直径的圆恒

过直线的交点,若存在,求出点的坐标;若不存在,请说明理由。

解:(1)椭圆方程为。…2分

(2),设,则

直线,即,……………………………4分

代入椭圆。…………5分

,…7分

(定值)。…………8分

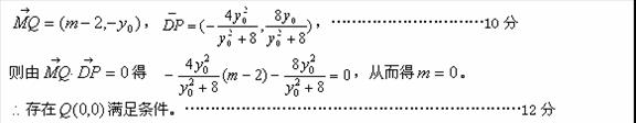
(3)设存在满足条件,则

练习册系列答案
相关题目

违法和不良信息举报电话:027-86699610 举报邮箱:58377363@163.com

精英家教网