搜索
题目内容
已知
,则
=________.
试题答案
相关练习册答案
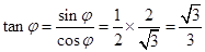
【答案】
.
【解析】
试题分析:
且
,所以
,则
,故
.
考点:1.诱导公式;2.同角三角函数的基本关系
练习册系列答案
期中期末加油站系列答案
随堂小卷子系列答案
新教材同步导学优化设计课课练系列答案
新课程学习与检测系列答案
新课堂单元达标活页卷系列答案
学考2加1系列答案
国华图书学业测评系列答案
志鸿优化赢在课堂系列答案
作业辅导系列答案
第一课堂课堂作业系列答案
相关题目
已知
,则f(1)=
.
已知
,则f(2)+f(-2)的值为( )
A.6
B.5
C.4
D.2
已知
,则
的值为
.
(1)由“若a,b,c∈R,则(ab)c=a(bc)”类比,若“
,
,
为三个向量,则•
=
•”;
(2)在数列a
n
中,a
1
=0,a
n+1
=2a
n
+2,猜想
;
(3)在平面内“三角形的两边之和大于第三边”类比在空间中“四面体的任意三个面的面积之和大于第四面的面积”;
(4)已知
,则a
1
+a
2
+…a
8
=256
上述四个推理中,得出的结论正确的个数是( )
A.1个
B.2个
C.3个
D.4个
已知
,则
。
关 闭
试题分类
高中
数学
英语
物理
化学
生物
地理
初中
数学
英语
物理
化学
生物
地理
小学
数学
英语
其他
阅读理解答案
已回答习题
未回答习题
题目汇总
试卷汇总
练习册解析答案