题目内容
已知函数f(x)=4x2-mx+5在区间[-2,+∞)上是增函数,则m的范围是( )A.m≤-16
B.m=-16
C.m≥-16
D.m<-16
【答案】分析:由二次函数
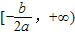
(a>0)在区间
上单调递增,即可求出.
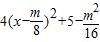
解答:解:∵函数f(x)=4x2-mx+5,∴f(x)=
,
又已知函数f(x)=4x2-mx+5在区间[-2,+∞)上是增函数,
∴
,
解得m≤-16.
故选A.
点评:理解二次函数的单调性与二次项的系数a及顶点的横坐标
有关系是解题的关键.
解答:解:∵函数f(x)=4x2-mx+5,∴f(x)=
又已知函数f(x)=4x2-mx+5在区间[-2,+∞)上是增函数,
∴
解得m≤-16.
故选A.
点评:理解二次函数的单调性与二次项的系数a及顶点的横坐标
练习册系列答案
相关题目