题目内容
已知函数f(x)=1-(I)判断函数的奇偶性;
(Ⅱ)求函数f(x)的值域.
【答案】分析:(I)利用函数奇偶性的定义判断函数的奇偶性;
(Ⅱ)利用指数函数的性质确定函数的值域.
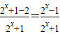
解答:解:(I)f(x)=1-
=
,函数定义域为R,关于原点对称.
又
,所以函数f(x)是奇函数.
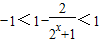
(Ⅱ)因为2x>0,所以
,
所以
,
即
,所以-1<y<1.
故函数f(x)的值域为(-1,1).
点评:本题主要考查函数奇偶性的应用以及函数值域的求法,要求熟练掌握函数的性质.
(Ⅱ)利用指数函数的性质确定函数的值域.
解答:解:(I)f(x)=1-
又
(Ⅱ)因为2x>0,所以
所以
即
故函数f(x)的值域为(-1,1).
点评:本题主要考查函数奇偶性的应用以及函数值域的求法,要求熟练掌握函数的性质.
练习册系列答案
相关题目
已知函数f(x)=
,g(x)=1+
,若f(x)>g(x),则实数x的取值范围是( )
| 1 |
| |x| |
| x+|x| |
| 2 |
| A、(-∞,-1)∪(0,1) | ||||
B、(-∞,-1)∪(0,
| ||||
C、(-1,0)∪(
| ||||
D、(-1,0)∪(0,
|