题目内容
已知函数(1)确定a的值,使f(x)为奇函数;
(2)当f(x)为奇函数时,求f(x)的值域.
【答案】分析:(1)根据奇函数定义,在定义域内f(-x)=-f(x)恒成立可求a值;
(2)利用2x>0及函数单调性可求f(x)的值域.
解答:解:(1)若f(x)为奇函数,则f(-x)=-f(x),
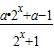
即
=-(
),
解得:a=
.
故当a=
时,f(x)为奇函数.
(2)由(1)知,若f(x)为奇函数,a=
,
∴f(x)=
-
,
因为2x>0,所以0<
<1,-1<-
<0,
所以-
<f(x)<
.
故f(x)的值域为(-
,
).
点评:本小题主要考查函数奇偶性的应用、不等式的解法等基础知识,考查运算求解能力与化归与转化思想.属于基础题.
(2)利用2x>0及函数单调性可求f(x)的值域.
解答:解:(1)若f(x)为奇函数,则f(-x)=-f(x),
即
解得:a=
故当a=
(2)由(1)知,若f(x)为奇函数,a=
∴f(x)=
因为2x>0,所以0<
所以-
故f(x)的值域为(-
点评:本小题主要考查函数奇偶性的应用、不等式的解法等基础知识,考查运算求解能力与化归与转化思想.属于基础题.
练习册系列答案
相关题目