题目内容
已知数列{an}的前n项和,
.
(1)求数列{an}的通项公式an;
(2)记
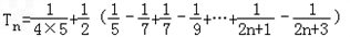
,求Tn.
(1)求数列{an}的通项公式an;
(2)记
解:(I)当n=1时,a1=S1=4,
当n≥2时,an=Sn﹣Sn﹣1=n2+2n+1﹣[(n﹣1)2+2(n﹣1)+1]=2n+1,
又a1=4不适合上式,
∴
(II)∵
,
当n≥2时,
=
=
,
∴
=
=
.
当n≥2时,an=Sn﹣Sn﹣1=n2+2n+1﹣[(n﹣1)2+2(n﹣1)+1]=2n+1,
又a1=4不适合上式,
∴
(II)∵
当n≥2时,
∴
练习册系列答案
相关题目
已知数列{an}的前n项和Sn=an2+bn(a、b∈R),且S25=100,则a12+a14等于( )
| A、16 | B、8 | C、4 | D、不确定 |