题目内容
已知函数f(x)=lnx,(1)当a=-2时,函数h(x)=f(x)-g(x)在其定义域内是增函数,求实数b的取值范围;
(2)令V(x)=2f(x)-x2-kx(k∈R),如果V(x)的图象与x轴交于A(x1,0)、B(x2,0)两点(0<x1<x2),且线段AB的中点为C(x,0),函数V(x)的导函数为V′(x),求证:V′(x)≠0.
【答案】分析:(1)求导函数,可得
对任意x∈(0,+∞)恒成立,分离参数,求出函数的最值,即可求实数b的取值范围;
(2)利用反证法,求导函数,利用V(x)的图象与x轴交于A(x1,0)、B(x2,0)两点(0<x1<x2),且线段AB的中点为C(x,0),从而可引出矛盾.
解答:(1)解:由题意,h(x)=lnx+x2-bx,
∵函数h(x)=f(x)-g(x)在其定义域内是增函数,
∴
对任意x∈(0,+∞)恒成立
分离参数可得
,
所以
…(4分)
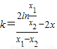
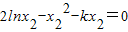
(2)证明:V(x)=2f(x)-x2-kx(k∈R),所以
令V′(x)=0,则由题意可得
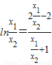
①;
②
x1+x2=2x③;
=0④
由①②得
由④得
所以
,即
⑤(8分)
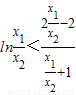
令
,则
,所以
因此u(t)在(0,1)上是增函数,
所以u(t)<u(1)=0,即
与⑤矛盾
因此假设不成立
故V'(x)≠0(12分)
点评:本题考查导数知识的运用,考查函数的单调性,考查反证法的运用,考查学生分析解决问题的能力,属于中档题.
(2)利用反证法,求导函数,利用V(x)的图象与x轴交于A(x1,0)、B(x2,0)两点(0<x1<x2),且线段AB的中点为C(x,0),从而可引出矛盾.
解答:(1)解:由题意,h(x)=lnx+x2-bx,
∵函数h(x)=f(x)-g(x)在其定义域内是增函数,
∴
分离参数可得
所以
(2)证明:V(x)=2f(x)-x2-kx(k∈R),所以
令V′(x)=0,则由题意可得
x1+x2=2x③;
由①②得
由④得
所以
令
因此u(t)在(0,1)上是增函数,
所以u(t)<u(1)=0,即
因此假设不成立
故V'(x)≠0(12分)
点评:本题考查导数知识的运用,考查函数的单调性,考查反证法的运用,考查学生分析解决问题的能力,属于中档题.
练习册系列答案
相关题目