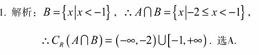
题目内容
已知全集U=R,集合
,则
= ( )
A.
B.![]()
C.
D.![]()
练习册系列答案
相关题目
题目内容
已知全集U=R,集合
,则
= ( )
A.
B.![]()
C.
D.![]()