题目内容
(1)判断函数f(x)=(2)猜想函数
(3)利用题(2)的结论,求使不等式
【答案】分析:(1)函数f(x)=
在(0,2]上是减函数,在[2,+∞)上是增函数,再利用单调性的定义进行证明即可;
(2)由上及f(x)是奇函数,可猜想:f(x)在
和
上是增函数,f(x)在
和
上是减函数
(3)根据
在x∈[1,5]上恒成立,可得
在x∈[1,5]上恒成立 求出左边函数的最小值即可.
解答:(1)解:函数f(x)=
在(0,2]上是减函数,在[2,+∞)上是增函数.…(1分)
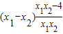
证明:设任意x1<x2∈(0,+∞),则
…(2分)
=
…(3分)
又设x1<x2∈(0,2],则f(x1)-f(x2)>0,∴f(x1)>f(x2)
∴函数f(x)=
在(0,2]上是减函数 …(4分)
又设x1<x2∈[2,+∞),则f(x1)-f(x2)<0,∴f(x1)<f(x2)
∴函数f(x)=
在[2,+∞)上是增函数 …(5分)
(2)解:由上及f(x)是奇函数,可猜想:f(x)在
和
上是增函数,f(x)在
和
上是减函数 …(7分)
(3)解:∵
在x∈[1,5]上恒成立
∴
在x∈[1,5]上恒成立 …(8分)
由(2)中结论,可知函数
在x∈[1,5]上的最大值为10,
此时x=1 …(10分)
要使原命题成立,当且仅当2m2-m>10
∴2m2-m-10>0 解得m<-2,或
∴实数m的取值范围是{m|m<-2,或
} …(12分)
点评:本题重点考查函数的单调性的判定与证明,考查恒成立问题,解题的关键是利用单调性的定义,利用函数的最值解决恒成立问题.
(2)由上及f(x)是奇函数,可猜想:f(x)在
(3)根据
解答:(1)解:函数f(x)=
证明:设任意x1<x2∈(0,+∞),则
=
又设x1<x2∈(0,2],则f(x1)-f(x2)>0,∴f(x1)>f(x2)
∴函数f(x)=
又设x1<x2∈[2,+∞),则f(x1)-f(x2)<0,∴f(x1)<f(x2)
∴函数f(x)=
(2)解:由上及f(x)是奇函数,可猜想:f(x)在
(3)解:∵
∴
由(2)中结论,可知函数
此时x=1 …(10分)
要使原命题成立,当且仅当2m2-m>10
∴2m2-m-10>0 解得m<-2,或
∴实数m的取值范围是{m|m<-2,或
点评:本题重点考查函数的单调性的判定与证明,考查恒成立问题,解题的关键是利用单调性的定义,利用函数的最值解决恒成立问题.
练习册系列答案
相关题目