题目内容
已知函数f(x)=lnx-x2.(I)求函数f(x)的单调递增区间;
(II)求函数f(x)在(0,a](a>0)上的最大值.
【答案】分析:(Ⅰ)求导函数,令f′(x)>0,可得函数f(x)的单调递增区;
(Ⅱ)由(Ⅰ)知函数在(0,
)为增函数,同理可得函数f(x)在(
,+∞)为减函数,进而分类讨论,确定函数f(x)在(0,a](a>0)上的单调性,从而可求函数f(x)最大值.
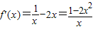
解答:解:(Ⅰ)因为函数f(x)=lnx-x2,x>0,所以
令f′(x)>0,所以0<x<
所以函数f(x)的单调递增区间是(0,
).…(5分)
(Ⅱ)由(Ⅰ)知函数在(0,
)为增函数,
同理可得函数f(x)在(
,+∞)为减函数.…(6分)
所以当0<a<
时,函数f(x)在(0,a)上单调递增,
所以函数f(x)的最大值为f(a)=lna-a2; …(9分)
当a≥
时,函数f(x)在(0,
)上单调递增,在(
,a)上单调递减,
所以函数f(x)最大值为
…(12分)
综上所述,当0<a<
时,函数f(x)的最大值为f(a)=lna-a2; 当a≥
时,函数f(x)最大值为
…(13分)
点评:本题考查函数的单调性,考查函数的最值,正确求导,确定函数的单调性是关键.
(Ⅱ)由(Ⅰ)知函数在(0,
解答:解:(Ⅰ)因为函数f(x)=lnx-x2,x>0,所以
令f′(x)>0,所以0<x<
所以函数f(x)的单调递增区间是(0,
(Ⅱ)由(Ⅰ)知函数在(0,
同理可得函数f(x)在(
所以当0<a<
所以函数f(x)的最大值为f(a)=lna-a2; …(9分)
当a≥
所以函数f(x)最大值为
综上所述,当0<a<
点评:本题考查函数的单调性,考查函数的最值,正确求导,确定函数的单调性是关键.
练习册系列答案
相关题目