题目内容
已知数列{an}满足an=2an-1+2n+1(n≥2,n∈N*),且a3=39,(1)求a1,a2.
(2)是否存在实数λ,使得数列{
(3)令cn=
【答案】分析:(1)由已知代入an=2an-1+2n+1(n≥2,n∈N*),且a3=39,即可求出a1,a2.
(2)假设存在实数λ,使得数列{
}为等差数列,求出λ的值为1,再证明数列{
}为等差数列即可.
(3)由(2)得到cn=
=
,若cn>m对任意的n∈N*都成立,只需m小于数列{cn}的最小项,即可得到实数m的取值范围.
解答:解:(1)由于数列{an}满足an=2an-1+2n+1(n≥2,n∈N*),且a3=39,
则a3=2a2+23+1,a2=2a1+22+1,故a2=15,a1=5;
(2)若存在实数λ,使得数列{
}为等差数列,
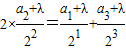
则
也为等差数列,
故
解得λ=1,
由于
=1
所以数列{
}为等差数列,首项为
,
故当λ=1时,数列{
}为等差数列;
(3)由(2)知,
若令cn=
,则cn=
由于cn≥cn+1等价于
即n2+4n+2=(n+2)2-2≤0无解,故恒有cn≥cn-1
若cn>m对任意的n∈N*都成立,则必有
=3=c1>m
则实数m的取值范围为m<3.
点评:本题主要考查了数列的递推关系,以及等比数列求和公式,同时考查了分类讨论的数学思想,该题有一定的难度.
(2)假设存在实数λ,使得数列{
(3)由(2)得到cn=
解答:解:(1)由于数列{an}满足an=2an-1+2n+1(n≥2,n∈N*),且a3=39,
则a3=2a2+23+1,a2=2a1+22+1,故a2=15,a1=5;
(2)若存在实数λ,使得数列{
则
故
解得λ=1,
由于
所以数列{
故当λ=1时,数列{
(3)由(2)知,
若令cn=
由于cn≥cn+1等价于
即n2+4n+2=(n+2)2-2≤0无解,故恒有cn≥cn-1
若cn>m对任意的n∈N*都成立,则必有
则实数m的取值范围为m<3.
点评:本题主要考查了数列的递推关系,以及等比数列求和公式,同时考查了分类讨论的数学思想,该题有一定的难度.
练习册系列答案
相关题目