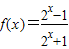
题目内容
已知(1)求a的值;
(2)求函数F(x)=f(x)+2x-
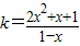
(3)设g(x)=log4
【答案】分析:(1)由题意可得:f(0)=0,解得a=1,注意验证;
(2)把(1)的结论代入可得函数,转化为方程的根可得答案;
(3)求函数的反函数可得
,由对数的运算性质可得
,用换元法令m=1-x,由关于m的函数的范围可得答案.
解答:解:(1)由奇函数的定义可得:f(-x)=-f(x),
取x=0即得f(0)=0,解得a=1,2分
经验证知当a=1时,
,此时满足f(x)=-f(-x),
故当a=1时,f(x)在R上的奇函数,4分
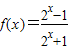
(2)由(1)知:
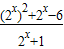
,故F(x)=
+
=
6分
由(2x)2+2x-6=0,可得2x=2,8分
所以x=1,即F(x)的零点为x=1. 10分
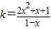
(3)由f-1(x)=g(x)得
,11分
由对数函数的运算性质可得:
12分
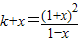
显然当
时k+x>0,即
13分
设
14分
于是
15分
所以实数k的取值范围
16分.
点评:本题考查函数的奇偶性和零点,涉及对数的运算,属中档题.
(2)把(1)的结论代入可得函数,转化为方程的根可得答案;
(3)求函数的反函数可得
解答:解:(1)由奇函数的定义可得:f(-x)=-f(x),
取x=0即得f(0)=0,解得a=1,2分
经验证知当a=1时,
故当a=1时,f(x)在R上的奇函数,4分
(2)由(1)知:
由(2x)2+2x-6=0,可得2x=2,8分
所以x=1,即F(x)的零点为x=1. 10分
(3)由f-1(x)=g(x)得
由对数函数的运算性质可得:
显然当
设
于是
所以实数k的取值范围
点评:本题考查函数的奇偶性和零点,涉及对数的运算,属中档题.
练习册系列答案
相关题目