题目内容
已知函数f(x)=alnx+x2(a为实常数),
(Ⅰ)若a=-2,求证:函数f(x)在(1,+∞)上是增函数;
(Ⅱ)求函数f(x)在[1,e]上的最小值及相应的x值.
(Ⅰ)若a=-2,求证:函数f(x)在(1,+∞)上是增函数;
(Ⅱ)求函数f(x)在[1,e]上的最小值及相应的x值.
解:(Ⅰ)当a=-2时,
,
当
,
故函数f(x)在(1,+∞)上是增函数。
(Ⅱ)
,
当
,
ⅰ)若a≥-2,
在[1,e]上非负(仅当a=-2,x=1时,
=0),
故函数f(x)在[1,e]上是增函数,此时,
。
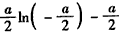
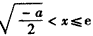
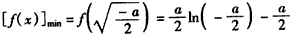
ⅱ)若
,当
时,
=0,
当
时,
<0,此时f(x)是减函数;
当
时,
>0,此时f(x)是增函数;
故
;
ⅲ)若
,
在[1,e]上非正(仅当a=-2e2,x=e时,
=0),
故函数f(x)在[1,e]上是减函数,此时,
;
综上可知,当a≥2时,f(x)的最小值为1,相应的x值为1;
当
时,f(x)的最小值为
,相应的x值为
;
当
时,f(x)的最小值为
,相应的x值为e。
当
故函数f(x)在(1,+∞)上是增函数。
(Ⅱ)
当
ⅰ)若a≥-2,
故函数f(x)在[1,e]上是增函数,此时,
ⅱ)若
当
当
故
ⅲ)若
故函数f(x)在[1,e]上是减函数,此时,
综上可知,当a≥2时,f(x)的最小值为1,相应的x值为1;
当
当
练习册系列答案
相关题目
已知函数f(x)=a-
,若f(x)为奇函数,则a=( )
| 1 |
| 2x+1 |
A、
| ||
| B、2 | ||
C、
| ||
| D、3 |