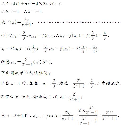
题目内容
已知函数满足;且使成立的实数只有一个。
(1)求函数的表达式;
(2)若数列满足,证明数列是等比数列,并求出的通项公式;
(3)在(2)的条件下,证明:
已知函数满足,且 在上恒成立.
(1)求的值;
(2)若,解不等式;
(3)是否存在实数,使函数在区间上有最小值?若存在,请求出实数的值;若不存在,请说明理由.
已知函数满足,且在上的导数满足,则不等式的解集为 。