题目内容
已知(Ⅰ)求tanα的值;
(Ⅱ)求
【答案】分析:(Ⅰ)求tanα的值可有
变换出关于tanα的方程,解方程求值.
(II)方法一:求
的值可以将其变成由角的正切表示的形式,将(Ⅰ)中求出的正切值代入求值.
方法二:利用同角三角函数的基本关系求出角α的正弦值与余弦值,
解答:解:(Ⅰ)解:
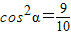
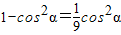
,
由
,有
,解得
;
(Ⅱ)解法一:
=
.
解法二:由(1),
,得
∴
,∴
于是
,

代入得
.
点评:考查三角函数的同角三角函数的基本关系以及二倍角公式,两角和的正切公式.公式较多,知识性较强.
(II)方法一:求
方法二:利用同角三角函数的基本关系求出角α的正弦值与余弦值,
解答:解:(Ⅰ)解:
由
(Ⅱ)解法一:
=
解法二:由(1),
∴
于是
代入得
点评:考查三角函数的同角三角函数的基本关系以及二倍角公式,两角和的正切公式.公式较多,知识性较强.
练习册系列答案
相关题目