题目内容
已知函数
.
(1)若曲线y=f(x)在点P(1,f(1))处的切线与直线y=x+2垂直,求函数y=f(x)的单调区间;
(2)若对于
x∈(0,+∞)都有f(x)>2(a﹣1)成立,试求a的取值范围;
(3)记g(x)=f(x)+x﹣b(b∈R).当a=1时,函数g(x)在区间[e﹣1,e]上有两个零点,求实数b的取值范围.
(1)若曲线y=f(x)在点P(1,f(1))处的切线与直线y=x+2垂直,求函数y=f(x)的单调区间;
(2)若对于
(3)记g(x)=f(x)+x﹣b(b∈R).当a=1时,函数g(x)在区间[e﹣1,e]上有两个零点,求实数b的取值范围.
解:(1)直线y=x+2的斜率为1,函数f(x)的定义域为(0,+∞),
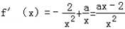
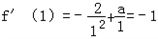
因为
,
所以,
,
所以,a=1.
所以,
,
.
由f'(x)>0解得x>2;
由f'(x)<0,解得 0<x<2.
所以f(x)的单调增区间是(2,+∞),单调减区间是(0,2).
(2)
,
由f'(x)>0解得
;
由f'(x)<0解得
.
所以,f(x)在区间
上单调递增,在区间
上单调递减.
所以,当
时,函数f(x)取得最小值,
.
因为对于
x∈(0,+∞)都有f(x)>2(a﹣1)成立,
所以,
即可. 则
.
由
解得
.
所以,a的取值范围是
.
(3) 依题得
,则
.
由g'(x)>0解得 x>1;
由g'(x)<0解得 0<x<1.
所以函数g(x)在区间(0,1)为减函数,在区间(1,+∞)为增函数.
又因为函数g(x)在区间[e﹣1,e]上有两个零点,所以
,
解得
.
所以,b的取值范围是
.
因为
所以,
所以,a=1.
所以,
由f'(x)>0解得x>2;
由f'(x)<0,解得 0<x<2.
所以f(x)的单调增区间是(2,+∞),单调减区间是(0,2).
(2)
由f'(x)>0解得
由f'(x)<0解得
所以,f(x)在区间
所以,当
因为对于
所以,
由
所以,a的取值范围是
(3) 依题得
由g'(x)>0解得 x>1;
由g'(x)<0解得 0<x<1.
所以函数g(x)在区间(0,1)为减函数,在区间(1,+∞)为增函数.
又因为函数g(x)在区间[e﹣1,e]上有两个零点,所以
解得
所以,b的取值范围是
练习册系列答案
相关题目