题目内容
设数列{an}的前n项和为Sn,已知Sn=2an-2n+1(n∈N*).(1)求数列{an}的通项公式;
(2)令
【答案】分析:(1)由Sn=2an-2n+1,得Sn-1=2an-1-2n(n≥2).两式相减,得an=2an-2an-1-2n,即an-2an-1=2n(n≥2).
,所以数列
是公差为1的等差数列.由此可知an=(n+1)•2n.
(2)由题意知
=
=
.然后再证明证
.
解答:解:(1)由Sn=2an-2n+1,得Sn-1=2an-1-2n(n≥2).
两式相减,得an=2an-2an-1-2n,即an-2an-1=2n(n≥2).
于是
,所以数列
是公差为1的等差数列.(5分)
又S1=2a1-22,所以a1=4.
所以
,故an=(n+1)•2n.(6分)
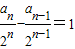
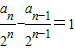
(2)因为
,则当n≥2时,
=
=
.(9分)
下面证
令
,则
,
∴g(x)在(0,+∞)时单调递增,g(x)>g(0)=0,即当x>0时,
令
,
,
,
,
,,
以上n个式相加,即有
∴
(14分)
点评:本题考查数列性质的综合运用,解题时要认真审题,注意公式的灵活运用.
(2)由题意知
解答:解:(1)由Sn=2an-2n+1,得Sn-1=2an-1-2n(n≥2).
两式相减,得an=2an-2an-1-2n,即an-2an-1=2n(n≥2).
于是
又S1=2a1-22,所以a1=4.
所以
(2)因为
下面证
令
∴g(x)在(0,+∞)时单调递增,g(x)>g(0)=0,即当x>0时,
令
,
以上n个式相加,即有
∴
点评:本题考查数列性质的综合运用,解题时要认真审题,注意公式的灵活运用.
练习册系列答案
相关题目