题目内容
在等差数列{an}中,a2=4,a6=12,,那么数列{A.
B.
C.
D.
【答案】分析:求出等差数列的通项,要求的和是一个等差数列与一个等比数列的积构成的数列,利用错位相减法求出数列的前n项的和.
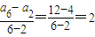
解答:解:∵等差数列{an}中,a2=4,a6=12;
∴公差d=
;
∴an=a2+(n-2)×2=2n;
∴
;
∴
的前n项和,


=

两式相减得

=
∴
故选B
点评:求数列的前n项的和,先判断通项的特点,据通项的特点选择合适的求和方法.
解答:解:∵等差数列{an}中,a2=4,a6=12;
∴公差d=
∴an=a2+(n-2)×2=2n;
∴
∴
两式相减得
=
∴
故选B
点评:求数列的前n项的和,先判断通项的特点,据通项的特点选择合适的求和方法.
练习册系列答案
相关题目