题目内容
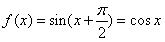
设函数f(x)=2sinxcos2
+cosxsinψ-sinx(0<ψ<π)在x=π处取最小值,
(1)求ψ的值;
(2)在△ABC中,a,b,c分别是角A,B,C的对边,已知a=1,b=
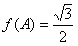
,f(A)=
,求角C。
(1)求ψ的值;
(2)在△ABC中,a,b,c分别是角A,B,C的对边,已知a=1,b=
解:(1)

,
因为函数f(x)在x=π处取最小值,所以
,
由诱导公式知
,
因为
,所以
,
所以
;
(2)因为
,所以
,
因为角A为△ABC的内角,所以
,
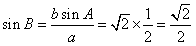
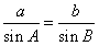
又因为
,
所以由正弦定理,得
,也就是
,
因为b>a,所以
,
当
时,
;当
时,
。
因为函数f(x)在x=π处取最小值,所以
由诱导公式知
因为
所以
(2)因为
因为角A为△ABC的内角,所以
又因为
所以由正弦定理,得
因为b>a,所以
当
练习册系列答案
相关题目