题目内容
已知正四棱锥S-ABCD中,SA=2A.1
B.
C.2
D.3
【答案】分析:设出底面边长,求出正四棱锥的高,写出体积表达式,利用求导求得最大值时,高的值.
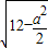
解答:解:设底面边长为a,则高h=
=
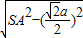
,所以体积V=
a2h=
,
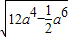
设y=12a4-
a6,则y′=48a3-3a5,当y取最值时,y′=48a3-3a5=0,解得a=0或a=4时,体积最大,
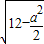
此时h=
=2,故选C.
点评:本试题主要考查椎体的体积,考查高次函数的最值问题的求法.是中档题.
解答:解:设底面边长为a,则高h=
设y=12a4-
此时h=
点评:本试题主要考查椎体的体积,考查高次函数的最值问题的求法.是中档题.
练习册系列答案
相关题目