搜索
题目内容
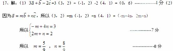
(8分)若平面内给定三个向量
(1)求
。
(2)求满足
的实数m,n的值。
试题答案
相关练习册答案
答案
练习册系列答案
海东青跟踪测试系列答案
师说中考系列答案
中考酷题酷卷系列答案
初三中考总复习系列答案
高分攻略系列答案
小学升初中重点学校考前突破密卷系列答案
新目标英语阅读训练系列答案
名师学案英语高考新题型系列答案
新课程课堂同步练习册系列答案
鼎尖训练系列答案
相关题目
平面内给定三个向量
a
=(0,2),
b
=(-1,2),
c
=(3,3)
若
(
a
+k
c
)
∥
(2
a
-
b
)
,则实数k=
.
(8分)
若平面内给定三个向量
,
(1)求
。
(2)求满足
的实数m,n的值。
(8分)
若平面内给定三个向量
(1)求
。
(2)求满足
的实数m,n的值。
(8分)若平面内给定三个向量
(1)求
。
(2)求满足
的实数m,n的值。
关 闭
试题分类
高中
数学
英语
物理
化学
生物
地理
初中
数学
英语
物理
化学
生物
地理
小学
数学
英语
其他
阅读理解答案
已回答习题
未回答习题
题目汇总
试卷汇总
练习册解析答案