题目内容
已知函数f(x)=
-2x2+lnx,其中a为常数,e为自然对数的底数,
(Ⅰ)若a=1,求函数f(x)的单调区间;
(Ⅱ)若函数f(x)在区间[1,2]上为单调函数,求a的取值范围。
解:(Ⅰ)若a=1时,f(x)=3x-2x2+lnx,定义域为(0,+∞),
f′(x)=
,
当x∈(0,1),f′(x)>0,函数f(x)=3x-2x2+lnx单调递增;
当x∈(1,+∞),f′(x)<0,函数f(x)=3x-2x2+lnx单调递减;
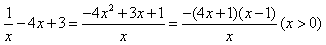
(Ⅱ)f′(x)=
,
若函数f(x)在区间[1,2]上为单调函数,
即f′(x)=
,
在[1,2]上,
恒成立,
,
即
,
令
,因函数h(x)在[1,2]上单调递增,
所以
,
解得a<0或
或a≥1。
f′(x)=
当x∈(0,1),f′(x)>0,函数f(x)=3x-2x2+lnx单调递增;
当x∈(1,+∞),f′(x)<0,函数f(x)=3x-2x2+lnx单调递减;
(Ⅱ)f′(x)=
若函数f(x)在区间[1,2]上为单调函数,
即f′(x)=
在[1,2]上,
即
令
所以
解得a<0或
练习册系列答案
相关题目
已知函数f(x)=x2-bx的图象在点A(1,f(1))处的切线l与直线3x-y+2=0平行,若数列{
}的前n项和为Sn,则S2010的值为( )
| 1 |
| f(n) |
A、
| ||
B、
| ||
C、
| ||
D、
|